
4.5 Convolutional Code
개념
- 실제적인 통신 환경에서 가장 많이 사용되는 채널 코딩
- GSM 혹은 IS-95등
- 주로 실시간 오류 수정에 사용
- Coding된 bit들은 현재의 k개의 입력 데이터 bit에게만 영향을 받을 뿐만 아닌 과거 입력 bit에게도 영향을 받음
Theorem
- Convolutional code의 주된 decoding 방식으로는 Viterbi알고리즘에 근거됨
- 구속장(Constraint Length) K는 아래와 같이 정의 됨
$$
K = M + 1
$$- M은 생성 shift register에서 연산 단계의 최대 수를 표현
- Shift register는 convolutional code의 상태 정보를 담고 있으며, constraint length에 따라 출력값이 영향을 받는 전/후의 비트 수가 정해짐
- Convolutional code의 code ratio인 r은 다음과 같이 정의 됨
$$
r = \frac{k}{n}
$$- k: 병렬 입력 정보의 bit 수
- n: 하나의 시간 구간 동안에 병렬 출력 code bit 수
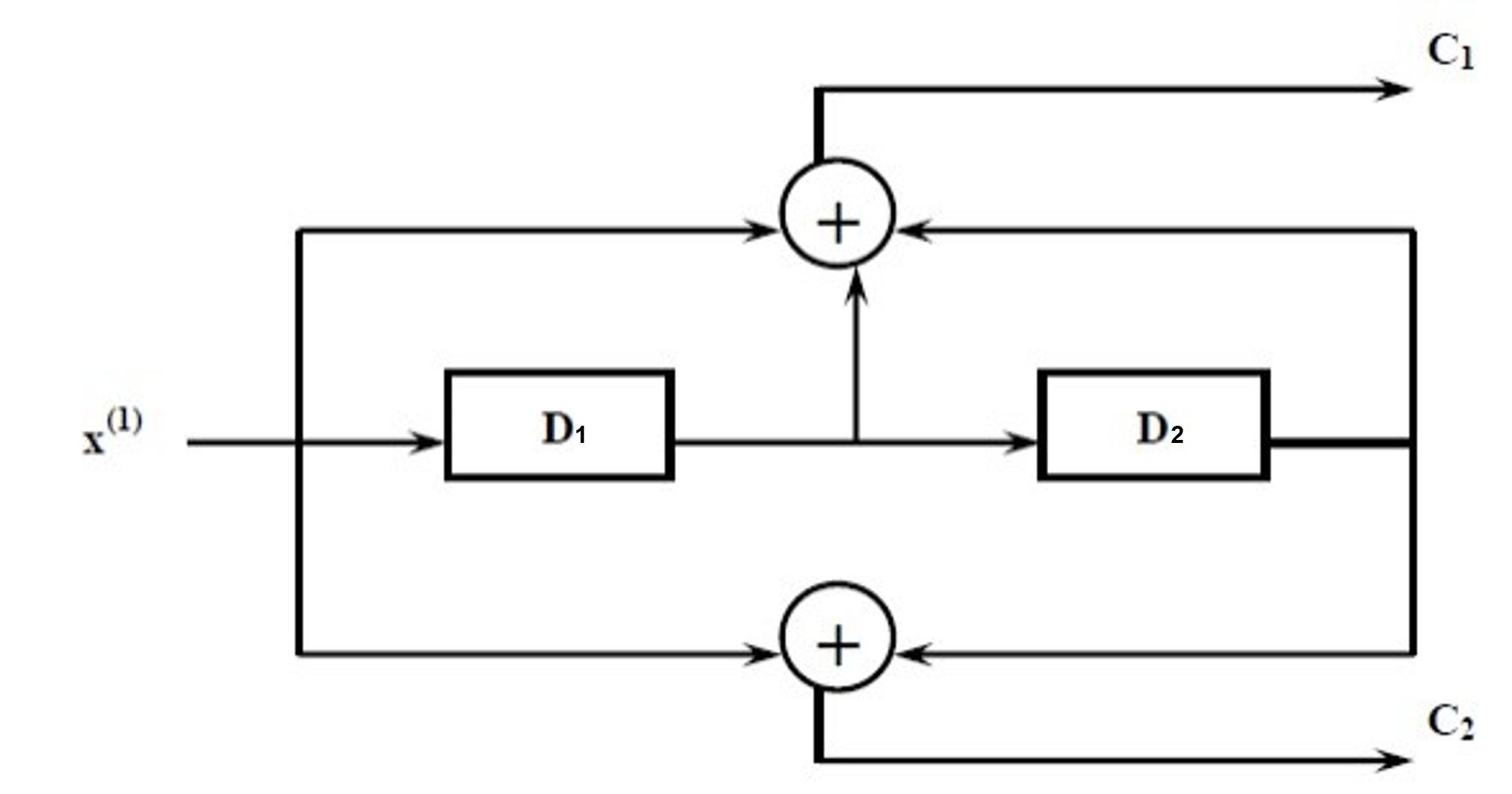
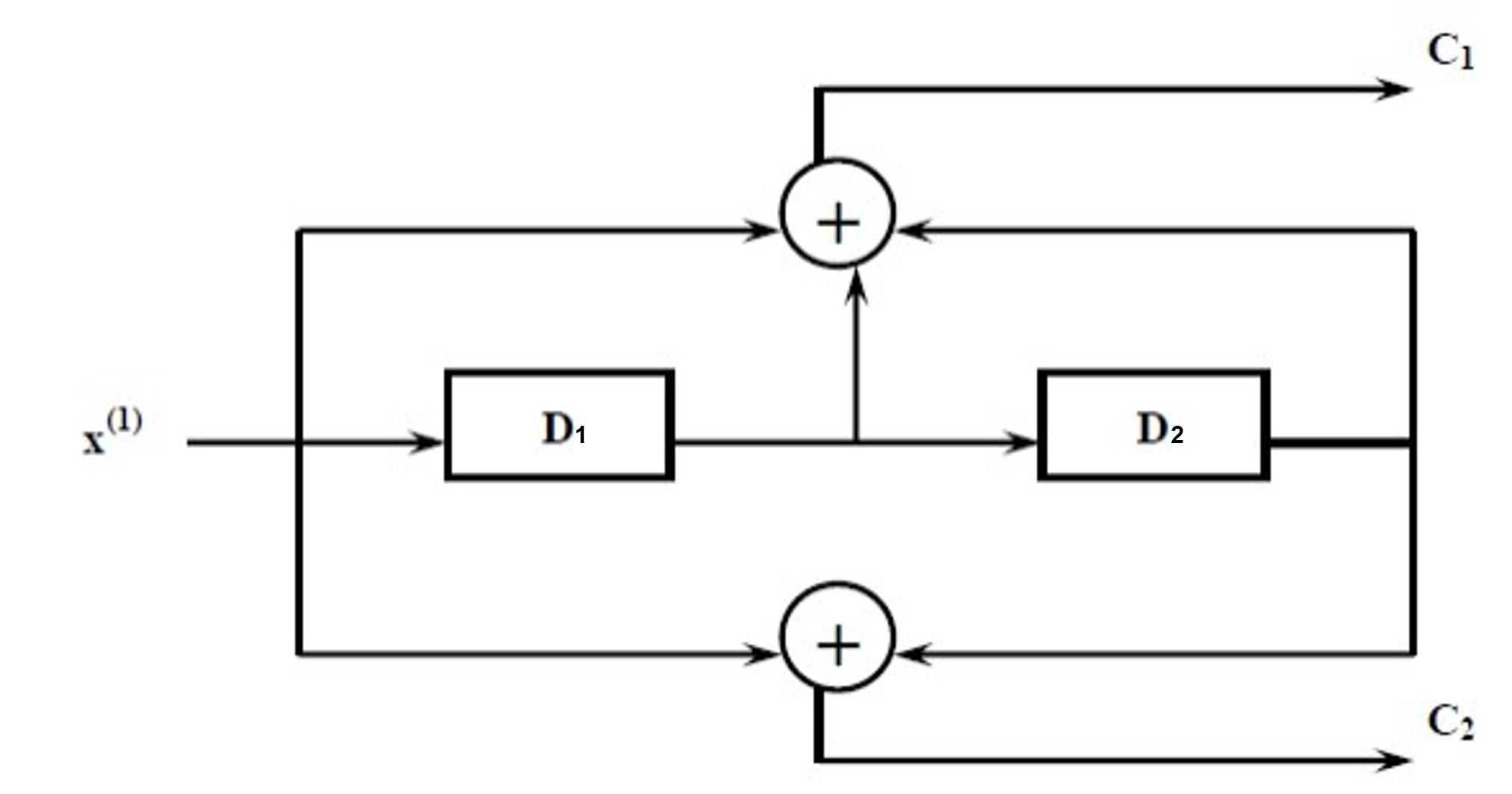
- n=2, k=1, 즉 r이 1/2인 convolutional code의 coder를 다음과 같이 볼 수 있음
- 출력 bit는 입력 bit와 shift register에 들어 있는 두 개의 과거 bit(D로 표현된)로부터 정해짐

- Convolutional code는 tree diagram이나 trellis diagram등 여러가지의 서로 다른, 그러나 상응한 방법으로 표현이 가능
- 아래 그래프는 위의 coder의 state shift를 나타낸 것


- 각각의 새로운 정보 bit는 한 상태(State)로부터 다른 상태로의 shift를 유발
- 상태(D1 D2)들 간의 경로 정보는 출력 비트들(C1 C2)과 상응 하는 임력 데이터 bit(x)를 표현
- Convolutional code는 모두 0인 상태에서 시작하는 것이 일반적임
이어서 작성 중...
'DAN lab. > DAN lab. Master's 1 Summer' 카테고리의 다른 글
| 04-04. Channel Coding and Error Control (0) | 2021.07.16 |
|---|---|
| 04-03. Channel Coding and Error Control (0) | 2021.07.16 |
| 04-02. Channel Coding and Error Control (0) | 2021.07.15 |
| 04-01. Channel Coding and Error Control (0) | 2021.07.14 |
| 03-01. Mobile Radio Propagation (0) | 2021.07.12 |